Смотреть видео: Решение систем уравнений второй степени примеры



Решение систем уравнений второй степени примеры - найдено 60 фото

Найдено фото: 60

Презентация "Решение систем уравнений второй степени" по математике - скачать пр
Урок "Решение систем уравнений второй степени"
Презентация на тему: "Квадратные неравенства и системы уравнений Обобщение матер
Системы уравнений первой и второй степени 8 класс презентация
Урок-практикум по теме "Способы решения систем уравнений второй степени" - матем
Тема Решение систем уравнений второй степени
Уравнения первой степени с двумя неизвестными системы уравнений 7 класс презента
Урок обобщения по теме: "Уравнения и системы уравнений". 9 класс
alexxlab - Страница 1102 - Таловская средняя школа
Системы уравнений второй степени и их решение - презентация онлайн
Картинки КАК РЕШАТЬ СИСТЕМУ УРАВНЕНИЙ ВТОРОЙ СТЕПЕНИ
Системы уравнений второй степени с двумя переменными
Решения системы уравнений первой степени
План решения уравнений 2 класс
Уроки математики и физики для школьников и родителей: Урок 28. Системы уравнений
Система уравнений с двумя неизвестными
Презентация "Графический способ решения систем уравнений" (9 класс) по информати
Презентация к открытому уроку алгебра 9 класс - математика, презентации
Решить систему однородных уравнений онлайн: Нетривиальное и фундаментальное реше
Решить систему однородных уравнений онлайн: Нетривиальное и фундаментальное реше
Решение систем двух линейных уравнений с двумя неизвестными
Задания по теме Системы линейных уравнений
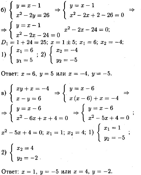
Решение систем уравнений второй степени 8 класс
Конспект урока математики по теме "Решение систем уравнений" - математика, уроки
Система уравнений второй степени. Способы решения. "решение систем уравнений вто
Фото С 9 МЕТОДЫ РЕШЕНИЯ СИСТЕМ УРАВНЕНИЙ
Система уравнений второй степени. Способы решения. "решение систем уравнений вто
Ответы Mail.ru: Домашняя работа по алгебре